General
The solder in a solderbath will gradually change its composition. During operation oxides will be formed and wettable metals e.g. copper will partly dissolve in the solder. On the other hand the solder taken from the bath will be refilled with fresh solder. If the refill rate is more than 0.5% of the total bath content per eight operating hours, the bath will get an equilibrium which normally needs no special attention. Although the tin content will slightly drop, due the somewhat over eutectic composition of the solder bars (63/37) the solder in the bath will remain at the (near) eutectic composition. Due to the refill the contamination with other metals will also be limited. In most cases the contaminating elements will be below the limits at which detrimental effects can occur.
In case one wants a simple method to check the solder composition for its main elements tin and lead, one can use the determination method by density measurement. With an accurate measurement of the density within the fourth digit (kg/m3) one can determine the tin content within about 1% of tin.
Determination method for the density of the solder sample by weighing
The solder sample with a weight of about 50 - 200 grams can best be taken straight from the running wave, using a spoon with a few drops of soldering oil in it. The spoon with the liquid solder shall be allowed to cool slowly free from vibrations. After sufficient cooling the oil film must be removed from the sample e.g. with alcohol. Check if the sample is free from deep contractions since these may cause measuring errors. Drill a small hole in the sample to allow suspension of the sample during weighing.
The density of the sample can now be determined by using the dry- and wet weighing method, using a balance with an accuracy of at least ± 0.005 g.
If we proceed the weighing cycles in a accordance with figure 1 on page 3, we can determine the density from the following formula:

ds = density of the solder sample
dw = density of the water in the measuring beaker
(at 20°C dw = 998.2 kg/m3)
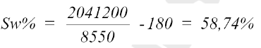
Determination of the tin-lead ratio
Knowing the solder density ds the tin content by weight can be calculated using the formula:
Correction of the solderbath
If the tin content in the solderbath must be P% and the weight of solder in the bath is G kg, the amount of tin to be added can be calculated from:

In case the solder bath content must be constant one can exchange solder for tin in which case the formula is:
Example:
A solder sample has a density of 8550 kg/m3. The bath content is 150 kg and must be kept at 60 weight % tin. From formula II we find that the tin content is:
From formula III we can calculate the amount of tin to be added as:

In case we want the tin content set at 63% the amount of tin to be added is:

If this amount is too large to be added one can exchange solder for tin.Using formula IV this gives:

Elucidation
First weighing Wh = weight of the hook
Second weighing Ws = weight of the hook + sample
Third weighing Wsw = sample and hook immersed in water
Fourth weighing Whw = hook immersed in water at the same depth